abbrechen
Suchergebnisse werden angezeigt für 
Anzeigen  nur  | Stattdessen suchen nach 
Meintest du: 
Beantwortet! Gehe zur Lösung.

Vitocal 300-G moduliert fast nie

Hallo!

 

Wir haben in unserem EFH Neubau eine Vitocal 300-G (BWC 301.C12) verbaut die leider nicht modulieren will.

 

In Betrieb genommen wurde sie letztes Jahr im Sommer (direkt zur Estrich Aufheizung) von einem Viessmann Servicetechniker. Erst diesen Sommer sind wir eingezogen.

 

Von Anfang an ist mir aufgefallen, dass die WP nicht richtig moduliert, sie läuft in der Regel ~45min und geht dann wieder aus. Die Pausen dazwischen sind je nach Heizbedarf mal länger und mal kürzer, aber meistens unter einer Stunde. Läuft die WP, zieht sie ~3kW Strom.

Seit letztem Jahr hat sie es nur ein paar Mal (gefühlt weniger als 10 Mal) in die Modulation geschafft. Ist sie in der Modulation sind es dann auch nur ~800W Strom die gezogen werden und sie läuft dann mehrere Tage durch. Das letzte Mal kam sie am 24.11. in die Modulation. Am 28.11. habe ich die Heizkurve angepasst, dabei hat sie gestoppt und ist seit dem wieder nur am takten....

Der Aufbau:

  • Vitocal 300-G (BWC 301.C12), Inbetriebnahme letztes Jahr: 07.2022
  • Vitocell 120 (600L)
  • Vitotrans 353
  • Solekreis durch Ringgrabenkollektor
  • Aufbauschema müsste 4 sein
  • Ein Heizkreis, Fussbodenheizung komplett
  • Nur in den beiden Kinderzimmern sind ERR mit Stellglied, die restlichen Zimmer immer offen
  • Einfamilienhaus Neubau, Baubeginn 03.2021, Einzug 08.2023
    • Gemauert mit 36cm Poroton
    • Keller WU-Beton und 12cm Styrodur rundum+drunter
    • Dach Zwischensparrendämmung 20cm mit Zellulose Einblas--Dämmung
    • kein KFW
    • ~230m² beheizte Wohnfläche + ~100m² unbeheizte Nutzfläche (Garage+Kellerräume)
    • Aktuell ist die Wand zur Garage (+ unterkellertem Raum) noch nicht abschliessend gedämmt, weil die Wand noch Nass/Feucht ist, hier sind 24cm Poroton, perspektivisch kommt hier noch 6cm Dämmung drauf
    • Aktuell ist die Durchgangstür zur Garage (+ unterkellerter Garage) noch je eine ZK-Kellertür, hier kommen (gedämmte) Wohnungsabschlusstüren wenn die Dämmung angebracht werden konnte
    • Aussenputz fehlt noch
  • Heizkurve aktuell: Neigung 0,2; Niveau 2 (vermutlich wird das Niveau nach dem Dämmen runter müssen)
  • HK-Pumpe Wilo RS25/6-RKA M, läuft konstant auf 100% (Drehschalter auf Konstant-Anschlag)
  • Hydraulischer Abgleich wurde letztens erst gemacht
  • Volumenstrom (abgelesen und umgerechnet an den HK-Verteilern): 1164 Liter/Stunde
  • Anzahl Starts Verdichter: 2046
  • Betriebsstunden Verdichter: 2126h

Hier sind ein paar Screenshots von meiner PV, dort habe ich bisher immer die WP "beobachtet".

Beginn der letzten Modulationsphase am 24.11.:

PV-Strom-Verbrauch_erst_Takten_dann_Modulieren.png

Hier ist das Ende der Modulation am 28.11. zu erkennen. Um ~11:00 Uhr habe ich die Heizkurve etwas angepasst:

PV-Strom-Verbrauch_erst_Moduliert_dann_Takten.png

Hier ist ein typischer Tag mit Heizungstakten

PV-Strom-Verbrauch_Takten.png

 

 

Inzwischen habe ich auch Home Assistant angeschlossen, da ist es noch besser nachvollziehbar.

Verlauf von heute (ca. -3°C Aussentemperatur heute):

HA_Verlauf.png

Auszug aus dem Log des Verdichter von heute:

HA_Compressor_log.png
Mein Heizungsmonteur war gestern wieder da und hatte auch keine Idee was da angepasst werden müsste damit die WP anfängt zu modulieren.
Eben ist mir im Diagramm noch aufgefallen, dass zum Ende eines Taktes hin die Puffertemperatur im Diagramm stark ansteigt (der kleine hellrote Zacken):
HA_Verlauf_Ausschnitt.png
 
Ich hätte gerne, dass die WP moduliert und durchläuft. Mit dem aktuellen Verhalten läuft sie ca. die halbe Zeit 100% mit ~3kW und die andere Hälfte ist sie aus. Wenn sie durchläuft hätte ich im Mittel nur noch etwas mehr als die Hälfte Stromverbrauch (~1,5kW beim Takten im Durchschnitt vs. 800W beim Modulieren). Und die vielen Starts sind für die Maschinen Gesundheit auf Dauer sicher auch Negativ...
 
Habt Ihr eine Idee was hier falsch läuft?
Welche Informationen soll ich noch liefern?
 
Viele Grüße und Danke
Achim
1 AKZEPTIERTE LÖSUNG

Akzeptierte Lösungen

Danke für Eure Antworten!

 

Inzwischen läuft es!

 

Im Dezember habe ich viele viele Stunde damit verbracht die Wärmepumpe "zu verstehen". Ich habe täglich in Foren gelesen, Handbuch studiert, Einstellungen dokumentiert, leicht geändert und beobachtet etc.

Den Tipp mit dem geräuschreduzierten Betrieb habe ich auch gefunden und ausprobiert: Wärmepumpe moduliert dadurch.

Ich wollte es aber auch im "normal" Betrieb haben, damit ich bei starkem Frost nicht auf einmal "kalt" laufe. Also habe ich weiter gesucht. Ich war schon kurz davor in Codierebene 2 an der max. Verdichterdrehzahl zu drehen (ParameterNr weiß ich nicht mehr).

Mitte Dezember habe ich dann die entscheidende(n) einfachen Einstellung(en) gemacht:

  • Das Niveau der Heizkurve habe ich von +2 auf -1 gestellt

Zusätzlich:

  • Wärmepumpe so schnell wie möglich einschalten wenn Puffertemperatur unter Soll und nicht erst wenn 2-3° abgefallen (den Parametername/-bezeichnung weiß ich jetzt gerade nicht)

Das Paradoxe daran ist, dass es im Haus damit gefühlt wärmer geworden ist, trotz absenken des Niveau um 3° von +2 auf -1! Aber dadurch dass die "Abkühlphasen" weggefallen sind und durchgängig Wärme in die Räume kommt ist das auch erklärbar.

 

Mein Vitocell 120 ist als Kombispeicher Heizpuffer + WW-Puffer verbaut. Hier sehe ich noch ein bisschen Optimierungspotential bei der Einstellung der Sek. Pumpe. Die Volumenströme von Sek. Pumpe und Heizkreispumpe passen glaube ich noch nicht zusammen. Im Moment gibt es, glaube ich, zu viel Verwirbelung im Pufferspeicher wodurch die WW-Temperatur abfällt und öfters neu geladen werden muss. Das Infrarotthermometer zum Abgleich von VL/RL der WP/HK habe ich schon hier liegen, aber im Moment keinen Bock dazu es zu machen 🙂

 

Das unsere Wärmepumpe "zu stark/überdimensioniert" ist habe ich auch schon ein paar mal gedacht. Aber als Laie ohne Erfahrung kaufst Du keine 6kW WP wenn das Haus "berechnete" 8kW benötigt. Die Heizungsbauer/-hersteller verkaufen natürlich auch lieber gleich das große Teil damit sich hinterher keiner beschweren kann, dass die Hütte zu kalt ist. Die verbauen ja aber auch immer ERR komplett und dann kannst Du nicht so niedrige Temperaturen fahren.

Das ist das gleiche mit dem Pufferspeicher. Ich hatte schon vorher gelesen, dass bei FBH ohne ERR ein Puffer unnötig ist. Aber als Laie ohne Erfahrung boxt du das nicht gegen Heizungsbauer/-hersteller durch...

 

Zur Info:

  • Meine ERR in den Kinderzimmern sind nicht mit der Wärmepumpe verbunden. Es gibt also keine Anforderung an die Wärmepumpe nach mehr "Power" durch die ERR.

Meine Heizkurve inzwischen:

  • Niveau: -1
  • Neigung: 0,3

 

Viele Grüße

Achim

 

Nachtrag:

Seit Mitte Dezember läuft die Wärmepumpe durch! Wir hatten nur im Februar (bei hohen Aussentemperaturen) an einem Tag eine kurze Pause von ein paar Stunden.

  • Betriebsstunden Verdichter aktuell: 4332h (Anfang Dez.: 2126h)
  • Starts Verdichter aktuell: 2103 (Anfang Dez.: 2046)

Lösung in ursprünglichem Beitrag anzeigen

17 ANTWORTEN 17

Mir kommt das Problem bekannt vor, möglicherweise ist die Wärmepumpe überdimensioniert.

Wenn die Wärmepumpe in den geräuschreduzierten Betrieb geschaltet wird, erreicht sie max. 54% ihrer Leistung. Seit dieser Maßnahme moduliert meine Wärmepumpe perfekt. Ich würde es einfach mal ausprobieren. Wenn das Problem inzwischen behoben ist, einfach meine Antwort vergessen.

 

Gruß ephrosine

Hallo Achim,

das ist ja wirklich ein frappierender Effekt am 28.11. und interessiert mich sehr. Weißt Du noch, was für eine Änderung Du da an der Heizkurve gemacht hattest? Am besten wäre: "Heizkurvenparameter vor der Änderung" und "Heizkurvenparameter danach".

Ist Dein "Vitocell 120 (600L)" ein Pufferspeicher für den Heizkreis oder Euer WW-Behälter oder ein Kombispeicher?

Hast Du mal probiert, was passiert, wenn Du auch in den 2 Kinderzimmern die ERR weiter öffnest?

Irgendwo hier im Forum habe ich auch gelesen, dass ERR, wenn sie komplett geöffnet sind, unter Umständen ein Signal an die WP geben, die Leistung zu vergrößern.

Wenn Deine WP mit 3 kW Strom läuft, heißt das ja bei einem angenommenen COP von 4, dass sie mit Ihrer Nennheizleistung von 12 kW läuft (Eine "C12", also eine Heiznennleistung von 12 kW, ist für Dein modernes Haus mit FBH schon eine sehr leistungsstarke WP.), also im Prinzip "volle Pulle". Irgendwas ist da "komisch". Ist es vielleicht sogar so ein voll geöffnetes ERR, das der WP signalisiert, sie soll mehr Wärme liefern, damit sich das ERR wieder etwas schließt und damit auch nicht mehr die Anforderung "Mehr Wärme" an die WP sendet?

VG PeterF60


Vitocal 222-S AWBT-E-AC 221.C08; Inbetriebnahme: 20.12.2021

Danke für Eure Antworten!

 

Inzwischen läuft es!

 

Im Dezember habe ich viele viele Stunde damit verbracht die Wärmepumpe "zu verstehen". Ich habe täglich in Foren gelesen, Handbuch studiert, Einstellungen dokumentiert, leicht geändert und beobachtet etc.

Den Tipp mit dem geräuschreduzierten Betrieb habe ich auch gefunden und ausprobiert: Wärmepumpe moduliert dadurch.

Ich wollte es aber auch im "normal" Betrieb haben, damit ich bei starkem Frost nicht auf einmal "kalt" laufe. Also habe ich weiter gesucht. Ich war schon kurz davor in Codierebene 2 an der max. Verdichterdrehzahl zu drehen (ParameterNr weiß ich nicht mehr).

Mitte Dezember habe ich dann die entscheidende(n) einfachen Einstellung(en) gemacht:

  • Das Niveau der Heizkurve habe ich von +2 auf -1 gestellt

Zusätzlich:

  • Wärmepumpe so schnell wie möglich einschalten wenn Puffertemperatur unter Soll und nicht erst wenn 2-3° abgefallen (den Parametername/-bezeichnung weiß ich jetzt gerade nicht)

Das Paradoxe daran ist, dass es im Haus damit gefühlt wärmer geworden ist, trotz absenken des Niveau um 3° von +2 auf -1! Aber dadurch dass die "Abkühlphasen" weggefallen sind und durchgängig Wärme in die Räume kommt ist das auch erklärbar.

 

Mein Vitocell 120 ist als Kombispeicher Heizpuffer + WW-Puffer verbaut. Hier sehe ich noch ein bisschen Optimierungspotential bei der Einstellung der Sek. Pumpe. Die Volumenströme von Sek. Pumpe und Heizkreispumpe passen glaube ich noch nicht zusammen. Im Moment gibt es, glaube ich, zu viel Verwirbelung im Pufferspeicher wodurch die WW-Temperatur abfällt und öfters neu geladen werden muss. Das Infrarotthermometer zum Abgleich von VL/RL der WP/HK habe ich schon hier liegen, aber im Moment keinen Bock dazu es zu machen 🙂

 

Das unsere Wärmepumpe "zu stark/überdimensioniert" ist habe ich auch schon ein paar mal gedacht. Aber als Laie ohne Erfahrung kaufst Du keine 6kW WP wenn das Haus "berechnete" 8kW benötigt. Die Heizungsbauer/-hersteller verkaufen natürlich auch lieber gleich das große Teil damit sich hinterher keiner beschweren kann, dass die Hütte zu kalt ist. Die verbauen ja aber auch immer ERR komplett und dann kannst Du nicht so niedrige Temperaturen fahren.

Das ist das gleiche mit dem Pufferspeicher. Ich hatte schon vorher gelesen, dass bei FBH ohne ERR ein Puffer unnötig ist. Aber als Laie ohne Erfahrung boxt du das nicht gegen Heizungsbauer/-hersteller durch...

 

Zur Info:

  • Meine ERR in den Kinderzimmern sind nicht mit der Wärmepumpe verbunden. Es gibt also keine Anforderung an die Wärmepumpe nach mehr "Power" durch die ERR.

Meine Heizkurve inzwischen:

  • Niveau: -1
  • Neigung: 0,3

 

Viele Grüße

Achim

 

Nachtrag:

Seit Mitte Dezember läuft die Wärmepumpe durch! Wir hatten nur im Februar (bei hohen Aussentemperaturen) an einem Tag eine kurze Pause von ein paar Stunden.

  • Betriebsstunden Verdichter aktuell: 4332h (Anfang Dez.: 2126h)
  • Starts Verdichter aktuell: 2103 (Anfang Dez.: 2046)

Hallo  Achim, vielen Dank für deine freundliche Rückantwort. Ich habe in der Beschreibung nachgelesen welchen Parameter Du wohl gemeint haben könntest. wahrscheinlich handelt es sich um den Parameter Pufferhysterese 7403. Könntest Du dies überprüfen und gegebenenfalls den Wert mitteilen. Vielen Dank für die Mühe!

Übrigens läuft die Wärmepumpe jetzt schon seit Monaten ohne Probleme im geräuschreduzierten Betrieb, allerdings war es auch noch nicht knackig kalt. Zur Zeit arbeite ich mit Viessmann an der Modulation der Primär- und Sekundärpumpe. Ich bin nicht bereit die feste Drehzahleinstellung zu akzeptieren! Der hohe Durchfluss im Puffer, verursacht durch die Sekundärpumpe, stört die Schichtung. Auch die Primärpumpe zieht bei der festen Drehzahl die Sole viel zu schnell durch, bei einer Modulation hat die Sole eine wesentlich längere Verweildauer in der Verrohrung und wird besser erwärmt!

 

Gruß ephrosine

Hallo ephrosine,

 

>>Der hohe Durchfluss im Puffer, verursacht durch die Sekundärpumpe, stört die Schichtung. 

 

Das liegt am Vitocell 120. Der ist bekannt dafür dass er ständig heißes  Wasser aus dem obere Teil in Richtung Heizung verliert.

Mit dem Speicher bist du schlecht beraten worden.

 

Die Sekundärpumpe sollte ein paar Liter mehr in den Puffer befördern als der Heizkreis abnimmt.

Wenn die Sekundärpumpe viel zu hoch eingestellt ist, moduliert die Anlage nicht.

VG 

 

Hallo VG,

ich (ephrosine) betreibe schon seit 15 Jahren einen 800 Liter Hygiene Puffer aber auch bei diesem Puffer wird die Schichtung durch eine Einspeisung der Sekundärpumpe massiv gestört. Das Problem hat sich erheblich gebessert seitdem die Sekundärpumpe auf Modulation umgestellt wurde. Wenn der Verdichter auf 20% seiner Leistung reduziert läuft, geht auch die Förderleistung der Sekundärpumpe auf ca. 20% zurück. Die Sekundärpumpe wird jetzt so geregelt, dass die Spreizung Vor/Rücklauf bei ca. 6 Grad liegt. Es ist mir absolut unverständlich, dass diese Funktionalität nur freigeschaltet wird, wenn man als Kunde massiv reklamiert. Die Parametrierung ist nur über Vitosoft 300 zugänglich. Auf der vorhandenen Bedienebene werden diese Parameter ausgeblendet. 

 

Gruß ephrosine

@ephrosine

Meinst Du den Wert für 7203?

Der steht bei mir auf 20 (gerade nachgeschaut).

 

@qwert089 

Ich bin (leider) derjenige mit dem Vitocell 120. Genau das Problem mit "verlieren von oben Richtung Heizung" tritt bei mir auch auf. Hier wollte ich den Volumenstrom der Sek. Pumpe dem Volumenstrom der HK-Pumpe noch optimieren um Verwirbelungen zu verringern. Bringt das was oder ist das alles nix und es hilft nur Puffer für Heizung abzuklemmen oder (einfacher) nur in Reihe im Rücklauf zu lassen?

 

Danke!

>>nur Puffer für Heizung abzuklemmen

Als erstes solltest du eine genau Heizlast Berechnung erstellen.

Das Ergebnis  mit dem Leistungsdiagramm der  301.C12 vergleichen um abschätzen zu können wie stark sie ohne Puffer takten wird.

Und dann den 120-E nur noch für WW verwenden.

 

Das wir auch deine Stromkosten deutlich reduzieren.

 

VG 

Ja, genau, ich habe  den Parameter 7203 inzwischen ebenfalls auf 20 korrigiert und schaue zu was passiert.

Vielen Dank für die Unterstützung!

Gruß ephrosine

Ich habe eine Berechnung für die FBH Auslegung. Dort sind die Watt Bedarfs Zahlen der einzelnen Räume aufgelistet. Grundlage war dabei die Wärmeschutznachweis (-berechnung) und die Baupläne (habe ich auch alles).

Das Leistungsdiagramm für die 300G.C12 habe ich hier im Forum gefunden.

 

Wie kann ich damit jetzt abschätzen wann die Heizung Taktet?

 

Aktuell taktet die WP GARNICHT, seit Mitte Dezember war sie nur vor ein paar Tagen ein einziges mal für wenige Stunden aus als die Aussentemperaturen "sehr" warm waren. Sprich der Puffer ist bei uns (im Moment) eh nur ein "durchlaufender Posten". Es wird ja dann nur in der Übergangszeit relevant sein.

 

> Das wir auch deine Stromkosten deutlich reduzieren.

Von wie viel Verlust durch den Puffer sprechen wir den hier?

Rechnet sich das überhaupt wenn ich die Umbaukosten (Verrohrung, Befüllung, Neu Konfiguration der Steuerung für "ohne Puffer") dagegen rechne?

 

Noch eine Verständnisfrage:

Wenn ich den Puffer ausbaue, fällt dann auch der Mischer mit Heizkreispumpe weg?

Hallo,

 

was zeigt die Energiebilanz der Vitocal an an, wie viele kWh Wärme hat sie für WW und wie viel für Heizung erzeugt?

Im Neubau sind es vielleicht 20%.

Wenn das viel mehr ist kommt der Nachteil des Vitocell 120 zum tragen.

 

Wie viel kW hast du in Summe für die Räume laut Berechnung FbH.

Bei welcher Normaussentemperatur?

https://www.waermepumpe.de/normen-technik/klimakarte/

 

Wie viel m² FbH sind das ? Klassisch mit ca 7 cm Zementestrich auf den Rohren?

 

Bei einem Parallelpuffer kann man mit ca 10% mehr Strom rechnen, bei einem Kombispeicher wie dem 120 kann es mehr sein, schauen wir mal was die  Energiebilanz anzeigt.

 

auf wie viel Grad ist die WW Temp gestellt.?

 

 

VG 

 

 

 

Hallo qwert089,

 

hier sind die Daten.

 

Laufzeit WP (letzte  Woche): 162h, sprich sie war im laufe der Woche 5-6h aus

 

Thermische Energie:

  • Warmwasser (letzte Woche): 127kWh
  • Heizen (letzte Woche): 534kWh

Stromverbrauch (Wärmepumpe, ohne Frischwassermodul):

  • Warmwasser (letzte Woche): 39,4kWh
  • Heizen (letzte Woche): 131 kWh

Arbeitszahl zu o.g. Werten (Thermische Energie/Stromverbrauch):

  • Warmwasser (letzte Woche): 3,22
  • Heizen (letzte Woche): 4,07

Wärmebedarf (Gesamt beheizt) laut Berechnung: 8532 W

 

Normaussentemperatur:

  • Jahresmitteltemperatur 9.8 °C
  • Norm-Außentemperatur -10.6 °C
  • Höhe ~300 m
  • Klimazone 6

Beheizte Wohnfläche: ~230m²

Unbeheizte Nutzfläche (Garage+Kellerräume): ~100m²

 

Estrich: 6cm Zementestrich

 

Warmwasser:

  • Soll (WP): 50°C
  • Soll (Frischwassermodul): 44°C

Kannst Du anhand dieser Werte erkennen was der Kombispeicher an Energie "verliert"?

Danke!

Hallo,

 

angenommen du es sind 4 Bewohner und es werden täglich 200l WW verbraucht.

Je nachdem ob es eine WW Zirkulationspumpe gibt kann das auch mehr sein.

das sind ca 9 kWh siehe

 

9 kWh * 7 Tage das sind 63kWh. die Differenz zu deinen 127 kWh kann von der  WW Zirkulation kommen, oder der Speicher verliert das in Richtung Heizung, wie angesprochen.

Der Effekt hält sich bei dir aber  in Grenzen, da hätte ich eine größere Abweichung erwartet.

 

Für den Fall der 120-E ist die Ursache könnte man diese 64 kWh mit COP 4 bereitstellen, wo sie aktuell mit COP3 erzeugt werden.

Das würde weniger als 1€ pro Tag Unterschied beim Strom ausmachen.

Das müsste man sich auch für eine kalte Woche im Januar anschauen.

 

Die C12 kann bis ca 2,5 kW runtermodulieren. Bei ca 8 Grad kann das Haus das nicht mehr abnehmen.

Diese 2,5 kW kann der Estrich gut puffern, auch ohne 120-E im Heizkreis,

 

 

VG 

c12.PNG

Danke qwert089,

ich glaube so langsam blicke ich durch.

 

Wir haben KEINE WW Zirkulation, die Verluste gehen also komplett auf den Puffer zurück.

 

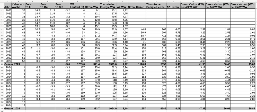
Ich hab nachgeschaut und eine Übersicht erstellt. In den KW 35/36 sind wir eingezogen, alles was davor war, ist nicht aussagekräftig.

Energiezähler_Heizung.png

In KW42 habe ich auf Heizen+Warmwasser umgestellt.

 

Hier sind zwei kalte Wochen im Januar, es war zu der Zeit durchgängig ca. -9°C.

 

KW2 (hier waren wir nur einen Tag zu Hause/Rest im Urlaub):

  • Strom WW: 15,6
  • Thermische Energie WW: 48,4
  • AZ WW: 3,10
  • Strom Heizen: 233
  • Thermische Energie Heizen: 964
  • AZ Heizen: 4,14

KW3:

  • Strom WW: 28,1
  • Thermische Energie WW: 88,5
  • AZ WW: 3,15
  • Strom Heizen: 227
  • Thermische Energie Heizen: 921
  • AZ Heizen: 4,06

Wenn ich das überschlage hatten wir in KW2 ~40kW Verlust von WW nach Heizen. Diese 40kW wurden mit AZ 3,10 erzeugt -> 12,9kW Strom waren nötig.

Wenn die 40kW mit AZ 4,14 fürs Heizen erzeugt worden wären, dann wären hier nur 9,7kW Strom nötig gewesen.

Bedeutet: 12,9 - 9,7 = 3,2kW Strom (in dieser Woche) gingen "verloren" weil das Heizwasser durch WW Betrieb mit schlechterer AZ erzeugt wurde.

Habe ich das so richtig verstanden?

Wenn ja, dann lass ich alles wie es ist und lebe mit dem ~1-2€/Woche Verlust. Der Aufwand alles umzubauen lohnt sich damit nicht für mich.

 

Viele Grüße

Achim

 

Hallo Achim,

 

ja richtig verstanden und berechnet.

Je geringer der die Differenz WW Temp und Vorlauf FBH ist, um so geringer ist der unschöne Effekt.

 

VG Michael


@AWeb  schrieb:

... Bedeutet: 12,9 - 9,7 = 3,2kW Strom (in dieser Woche) gingen "verloren" weil das Heizwasser durch WW Betrieb mit schlechterer AZ erzeugt wurde.

Habe ich das so richtig verstanden?

Wenn ja, dann lass ich alles wie es ist und lebe mit dem ~1-2€/Woche Verlust. Der Aufwand alles umzubauen lohnt sich damit nicht für mich.


Hallo Achim,

Du hast diese Betrachtung genau in den 2 Wochen gemacht, wo der Unterschied zwischen der VLT für das Heizen und der WWT am geringsten war, weil wegen der niedrigen ATs die VLT laut Heizkurve so hoch war. Denzufolge war in diesen 2 Wochen auch der Mehraufwand an Strom gering. Es war also falsch, genau diese 2 Wochen für Deine Betrachtung auszuwählen.

Größer wird der Verlust dann, wenn für das Heizen wegen höheren ATs nur eine niedrigere VLT laut Heizkurve benötigt wird. Mache die gleiche Betrachtung doch nochmal, aber für Wochen mit hohen ATs und demzufolge großer Differenz zwischen der WWT und VLT für das Heizen.

VG PeterF60


Vitocal 222-S AWBT-E-AC 221.C08; Inbetriebnahme: 20.12.2021

Hallo Peter,

ich habe meine Übersicht um drei Spalten mit angenommenem WW Verbrauch erweitert. Alles was über den angenommenen WW Verbrauch hinausgeht wird als Verlust angenommen und dann entsprechend der AZ der Verlust Strom errechnet:

Energiezähler_Heizung_2024-03-20.png

In der bisherigen Heizsaison wären das dann gesamt Stromverlust wegen schlechterer AZ:

  • Bei 40kW WW: 89,73kW
  • Bei 55kW WW: 66,47kW
  • Bei 75kW WW: 35,93kW

Der tatsächliche WW Verbrauch/Bedarf wird irgendwo in der Mitte liegen.

------

Die o.g. Werte sind ja der Verlust wegen dem Kombipuffer. Jetzt gibt es ja zusätzlich noch die Verlust durch den Puffer an sich wegen teilweise Rückströmung des VL WP in den RL WP.

Gibt es eine Möglichkeit zu berechnen was hier verloren geht gegenüber eines Aufbau ohne Puffer (VL WP direkt in Heizkreis)?

Ist bei einem Aufbau ohne Puffer auch ein Heizkreis Mischer vorhanden mit separater Heizkreispumpe oder gibt es dann nur noch die WP und die WP Sekundärpumpe pumpt das Wasser direkt in/durch den Heizkreis?

 

Vielen Dank für Eure Hilfe!